Estatística – Variância e Desvio-Padrão
Dispersão
Usamos o termo dispersão para indicar o grau de afastamento de um grupo de valores em relação à sua média aritmética (do conjunto).
Amplitude
Definimos a amplitude como sendo a diferença entre o maior e o menor valor em um intervalo de valores. Por exemplo, se tivermos um conjunto de valores ordenados, no qual o menor valor é 15 e o maior valor é 45, teremos uma amplitude de 45 – 15 = 30.
Essa amplitude nos dá uma noção do quão afastados estão o maior e o menor valores, porém não nos traz informações sobre os demais elementos do conjunto de dados.
Intervalo Interquartil
A amplitude geralmente é afetada quando existem valores muito grandes ou muito pequenos presentes no intervalo. Podemos diminuir o impacto desse problema usando o intervalo interquartil, que se obtém ignorando-se os quartis superior e inferior dos dados. Um quartil equivale a 1/4 dos valores, ou 25%.
Podemos calcular o intervalo interquartil usando o método a seguir:
- Primeiramente, coloque os dados em ordem (crescente).
- Determine o valor onde 1/4 dos demais valores estejam abaixo dele – chamamos esse valor de primeiro quartil (ou ainda, 25º percentil).
- Encontre o valor onde 3/4 dos demais valores estejam abaixo dele – chamamos a esse valor de terceiro quartil (ou ainda, 75º percentil).
- Agora calcule a diferença entre esses valores.
Exemplo: Seja o conjunto de valores a seguir (já ordenados):
1 3 4 6 7 8 10 15 16 17 18 20 21 22 25 28
Dividimos o intervalo em quatro partes:
| 1 3 4 6 | 7 8 10 15 | 16 17 18 20 | 21 22 25 28 |
Temos então que o primeiro quartil é o número 7, e o terceiro quartil é o número 21. O intervalo interquartil é a amplitude entre esses dois valores, portanto é igual a 21 – 7 = 14.
Desvio Médio Absoluto
É uma medida de dispersão que leva em consideração todos os valores de dados considerados. Basicamente, o desvio médio absoluto nos diz o quão afastado da média cada valor está.
Calculamos o desvio médio absoluto com a fórmula a seguir:
ou seja, subtraímos a média de cada valor individual, usando o valor absoluto de cada diferença, somando-os e dividindo o resultado pelo número de valores utilizados.
Exemplo: Calcular o desvio médio absoluto do conjunto de dados a seguir:
22 23 20 24 26 24 29
Vamos ordenar os sete valores e calcular a distância de cada um em relação à média do conjunto, que é 24:
| Valor | Distância da média (em módulo) |
| 20 | |20 – 24| = 4 |
| 22 | |22 – 24| = 2 |
| 23 | |23 – 24| = 1 |
| 24 | |24 – 24| = 0 |
| 24 | |24 – 24| = 0 |
| 26 | |26 – 24| = 2 |
| 29 | |29 – 24| = 5 |
Aplicando a fórmula do desvio médio absoluto temos:
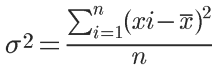
Variância
Geralmente elevamos ao quadrado cada valor de desvio e calculamos o valor médio desses quadrados, em vez de usar simplesmente o desvio médio absoluto como medida de dispersão. Damos a essa medida o nome de variância.
Simbolizamos a variância como σ2 (sigma ao quadrado), e a fórmula para o cálculo da variância é a seguinte:
Essa fórmula é bem parecida com a fórmula do desvio médio absoluto, mas usando os quadrados dos números em vez de seus valores absolutos.
Exemplo: Vamos calcular a variância do exemplo utilizado anteriormente, no tópico sobre desvio médio absoluto:
| Valor | Distância da média | Distância média ao quadrado |
| 20 | -4 | 16 |
| 22 | -2 | 4 |
| 23 | -1 | 1 |
| 24 | 0 | 0 |
| 24 | 0 | 0 |
| 26 | 2 | 4 |
| 29 | 5 | 25 |
Calculando a variância:
Desvio-Padrão
No geral, usamos uma medida de dispersão chamada de Desvio-Padrão, que dá uma idéia mais clara do tamanho da dispersão dos dados. O desvio-padrão nada mais é do que a raiz quadrada da variância. Assim:
O símbolo do desvio-padrão é a letra grega sigma (σ).
Exemplo: Aplicando o cálculo do desvio-padrão ao nosso exemplo anterior, teremos:
que é um valor de dispersão mais claro que a variância e mais preciso que o desvio médio absoluto.
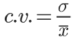
Coeficiente de variação
Podemos verificar se a dispersão é muito grande em relação à média, calculando o Coeficiente de Variação, que é a razão entre o desvio-padrão e a média:
Aplicando-se essa fórmula ao exemplo usado no artigo:
Portanto o coeficiente de variação do conjunto de dados apresentado é de 11,12%.
