Resistividade Elétrica
Em um condutor qualquer, sua resistência elétrica depende de alguns fatores, como o comprimento do condutor, a área de sua secção transversal e de um parâmetro denominado resistência específica do material, também chamada de resistividade.
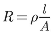
Baseando-se nesses parâmetros, podemos calcular a resistência de um condutor usando a fórmula conhecida como Segunda lei de Ohm:
Onde temos que:
R = resistência elétrica do condutor, em ohms
l = comprimento do fio, em metros (m)
A = área da secção reta do fio, em m2
ρ = resistência específica do material, em Ωm (ohms por metro)
A letra grega ρ (rho) representa a resistividade de um material, a qual permite comparar a resistência elétrica de diferentes condutores independentemente de seus comprimentos ou áreas. Valores mais altos de resistividade indicam que o material apresenta maior resistência elétrica que outro material de iguais dimensões e menor resistividade.
Abaixo temos uma tabela com valores de resistividade de diversos materiais:
Material |
Resistividade ρ (em Ωm) |
| Alumínio | 2,82 x 10-8 |
| Ouro | 2,44 x 10-8 |
| Prata | 1,59 x 10-8 |
| Cobre | 1,72 x 10-8 |
| Ferro | 10,0 x 10-8 |
| Platina | 10,6 x 10-8 |
| Chumbo | 0,22 x 10-6 |
| Tungstênio | 5,6 x 10-8 |
| Níquel-cromo | 100 x 10 -8 |
| Latão | 7 x 10-8 |
| Grafite (carbono) | 3,5 x 10-5 |
| Silício | 640 |
| Vidro comum | entre 1010 e 1014 |
| Enxofre | 1015 |
| Borracha (neoprene) | 109 |
| Teflon | 1014 |
| Água pura | 2,5 x 105 |
| Pele humana | aprox. 5,0 x 105 |
Podemos notar pela tabela que a resistividade dos bons condutores, como os metais cobre, alumínio e prata, é da ordem de 1021 vezes menor do que a resistividade de materiais isolantes, como o Teflon e o Vidro.
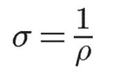
Condutividade Elétrica
O inverso da resistividade é a condutividade elétrica, simbolizada pela letra grega σ (sigma), e calculada pela fórmula a seguir:
A unidade de medida da condutividade elétrica é o siemens por metro (S/m).
Vamos ver alguns exemplos de cálculos de resistividade e condutividade:
Exemplo 01: Vamos determinar a resistência de duas barras de materiais de secção circular, uma de cobre e outra de grafite, ambas com um comprimento de 1 metro e com 2 mm de diâmetro. Consultando a tabela anterior, temos que as resistividades dos materiais são:
Cobre: 1,72 x 10-8 Ωm
Grafite: 3,5 x 10-5 Ωm
Vamos aos cálculos:
a.) Para o cobre:
Temos a fórmula final para o nosso exemplo. Agora vamos aplicar o valor das resistências específicas dos materiais de acordo com a tabela anterior. Para o cobre a resistência específica é de 1,72 x 10-8 Ωm. Aplicando na fórmula temos:
Já para o grafite, cuja resistência específica é de 3,5 x 10-5 Ωm, teremos:
Repare que a resistência da barra de grafite é muito maior – cerca de 1976 vezes – do que a da barra de cobre, pelo fato do cobre ser um excelente condutor elétrico, e o grafite ser um condutor pobre (mas não é um isolante!).
Exemplo 02: Vamos determinar a resistência de um condutor de alumínio, cuja área da seção transversal é de 2,1 mm2 e o comprimento é de 27 m.
Resolução: Já temos a área da seção transversal calculada, então vamos aplicar os dados à fórmula geral da resistividade. A resistência específica do alumínio, de acordo com nossa tabela, é de 2,82 x 10-8Ωm.
Então:
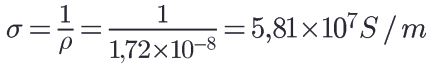
Exemplo 03: Calcule a condutividade da barra de cobre analisada no exercício 01.
No exercício 01 calculamos a resistência de uma barra de cobre de 1m de comprimento por 2mm de diâmetro. Para calcularmos sua condutividade, basta calcular o inverso de sua resistividade – e não o inverso da resistência elétrica, que é chamada de Condutância – cuidado para não confundir os termos!
A resistência específica do cobre é de 1,72 x 10-8 Ωm. Então temos:
Algumas observações importantes sobre a resistividade elétrica:
- Os materiais isolantes sólidos podem ser considerados como materiais de altíssima resistividade que satisfazem à segunda lei de Ohm até um certo limite.
- As soluções eletrolíticas (como água com sal de cozinha) também satisfazem à segunda lei de Ohm.
- Os gases ionizados não satisfazem a segunda lei de ohm, portanto não podemos aplicar os mesmos cálculos vistos aqui a, por exemplo, uma lâmpada de neon.
Na próxima lição vamos estudar a resistividade térmica, que é a variação da resistividade de um material com a temperatura.
