Como medir Corrente Elétrica com o Multímetro
Nesta parte 02 do tutorial sobre uso de um multímetro, vamos mostrar como proceder para medir corrente elétrica em um circuito simples. Na parte 01 do tutorial, apresentamos o multímetro e mostramos como medir tensão e resistência elétricas.
A medição de corrente elétrica com o multímetro deve ser realizada colocando-se o aparelho em série com o ramo do circuito que desejamos medir, pois a corrente deve atravessá-lo para que possa ser mensurada. Esse procedimento é diverso da medição de tensão elétrica, na qual colocamos as pontas de provas entre os dois pontos cuja diferença de potencial queríamos medir.
Vamos usar o circuito a seguir em nossos exemplos:
Temos uma fonte de tensão elétrica de 9V (uma bateria) e três resistores conectados a ela, sendo R1 e R2 resistores de 100 Ω, e R3 um resistor de 10 KΩ. R1 e R3 estão em série, assim como R1 e R2, e R2 e R3 estão em paralelo entre si.
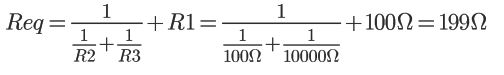
Vamos às medidas. Primeiramente vamos determinar qual escala do multímetro usar. Para isso, vamos determinar a corrente total neste circuito, usando a Lei de Ohm. Primeiramente vamos calcular a resistência equivalente do circuito, que é dada por:
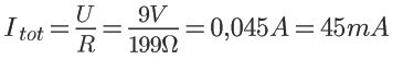
Com o valor de resistência equivalente de 199Ω, vamos agora calcular a corrente total que passa pelo circuito:
Sabemos agora que a corrente total no circuito é de 45 mA. Podemos então selecionar a escala mais adequada de medição no multímetro, que no caso é a escala de 200 mA, corrente contínua. Claro que nem sempre será possível efetuar os cálculos de corrente como fizemos neste exemplo, pois os circuitos podem ser muito complexos ou os valores dos resistores podem estar ilegíveis, sem contar que podem haver outros tipos de componentes conectados, como capacitores, indutores, integrados, etc.; Na dúvida, sempre comece medindo pela escala mais alta.
Observação: a potência total dissipada pelo circuito é de P = U x I = 9 V x 0,045 A = 0,405 W. Portanto, procure usar resistores que suportem esse valor de potência (ao menos em R1, por onde a corrente total irá circular), como por exemplo 0,5 W, sob risco de queimá-los.
Veja o circuito montado em uma breadboard na figura abaixo:
Vamos às medições de corrente. Primeiramente, ajustaremos a escala do multímetro e plugaremos a ponta de prova no borne correto, onde se lê “mA B”:
Medindo Corrente Elétrica: Escala do multímetro
Medição #01: Corrente que passa por R1
Para medir a corrente que atravessa R1, vamos desconectar um de seus terminais do circuito e então colocá-lo em série com o multímetro (função de amperímetro, A), como mostra a ilustração a seguir:
Veja a corrente que foi medida no multímetro:
O multímetro nos mostra o valor de 45,5 mA, muito próximo do valor calculado da corrente total, que foi de 45 mA. Essa pequena diferença se deve às tolerâncias dos resistores e às resistências dos fios (que não foram consideradas no cálculo), além da precisão do multímetro. Esperávamos esse valor, pois toda corrente atravessa esse resistor, que está ligado diretamente à fonte de alimentação do circuito.
Medição #02: Corrente que passa por R2
Agora vamos medir a corrente que passa pelo resistor R2. Conectamos de volta R1 e desconectamos um dos terminais de R2 para efetuar a medição. Esperamos obter um valor de corrente menor do que o que foi medido em R1, pois a corrente se divide entre os dois ramos do circuito, onde estão R2 e R3 respectivamente. Veja como deve ser feita a conexão no circuito para a medição:
Veja a corrente que foi medida no multímetro:
Agora o multímetro mostra o valor de 45,1 mA. Como sabemos, a corrente total é de 45,5 mA, portanto faltam 45,5 – 45,1 = 0,4 mA. Onde está essa corrente? Atravessando o resistor R3 provavelmente. É o que veremos agora:
Medição #03: Corrente que passa por R3
Vamos medir a corrente que atravessa o resistor R3, cuja resistência é de 10 KΩ. Reconectamos R2 e desconectamos um dos terminais de R3 para efetuar a medição, conforme ilustra o diagrama esquemático abaixo:
Veja a corrente que foi medida no multímetro:
Eis os 0,4 mA que faltavam. Essa corrente circulou pelo ramo do circuito onde está R3, mostrando que a corrente se divide ao encontrar resistores em paralelo. Estudaremos esse fenônemo com muito mais detalhes nas lições sobre Análise de Circuitos, Leis de Kirchhoff, Teorema de Thevenin, e outras.
É isso aí! Aprendemos a medir corrente com um multímetro nesta lição. Não se esqueça: para isso, você deve colocar o multímetro em série com o ramos do circuito cuja corrente deseja medir, frequentemente desconectando algum componente desse circuito. Na próxima aula sobre multímetros vamos aprender a medir o ganho de transístores. Até!
Anterior: Como funciona o multímetro – Medindo Tensão e Resistência Elétricas.
