Carga Elétrica
A carga elétrica é uma propriedade básica da matéria portada por algumas partículas elementares, que faz com que a matéria experimente uma força quando posicionada em um campo eletromagnético.
As cargas elétricas são de dois tipos gerais: positivas e negativas. Cargas elétricas de mesmo tipo exercem uma força de repulsão entre si, enquanto cargas de sinais opostos atraem-se mutuamente, quando próximas.
Um objeto possui carga elétrica negativa se possuir um excesso de elétrons, e carga elétrica positiva se tiver falta de elétrons (portanto, mais prótons do que elétrons em seus átomos). A matéria carregada eletricamente sofre influência de, e produz um campo eletromagnético. Desse modo, podemos dizer que a quantidade de carga elétrica que um corpo possui é determinada pela diferença entre q quantidade de prótons e a quantidade de elétrons que o corpo possui. Se o corpo tiver mais prótons que elétrons, está carregado com carga positiva; se tiver mais elétrons do que prótons, sua carga é negativa. Observe que apenas os elétrons podem variar, pois somente essas partículas podem se desligar de um átomo – os prótons estão sempre fixos no núcleo atômico, salvo em condições muito especiais, como uma explosão nuclear.
Atração e Repulsão de Cargas Elétricas
A unidade de medida de carga elétrica é o Coulomb, representado pela letra C, e o símbolo da carga elétrica é a letra Q.
A carga elétrica é quantizada, medida em múltiplos inteiros de uma unidade individual chamada de carga elementar e, que equivale a aproximadamente 1,602 x 10-19 C (tanto para prótons quanto para elétrons); quarks (partículas constituintes dos prótons e dos nêutrons) possuem valores de carga que são múltiplos inteiros de e/3. A carga do próton é +e e a do elétron, -e (negativa), por convenção.
Um coulomb equivale, portanto, a 6,242 x 1018 e, e é definido como a quantidade de cargas que atravessa a secção transversal de um condutor carregando um ampère em um segundo. Portanto:
Uma das características mais importantes das cargas elétricas é de que elas são capazes de exercer uma força. Essa força está presente em um Campo Eletrostático, que envolve os corpos carregados. Se dois corpos de cargas de sinais diferentes forem colocados próximos um ao outro, o campo eletrostático irá se concentrar na região entre os corpos, e podemos representar o campo elétrico por meio de linhas de força entre os dois corpos. Quaisquer elétrons que adentrem esse campo serão atraídos pelo corpo com carga positiva, e repelidos pelo corpo com carga negativa. A figura a seguir ilustra esse fenômeno:
Campo Eletrostático – Cargas Opostas
Já quando duas cargas de mesma polaridade são posicionadas próximas entre si. as linhas de força irão se repelir mutuamente. A figura abaixo ilustra esse fenômeno:
Campo Eletrostático – Cargas Iguais
Lei de Coulomb
É uma lei da física que descreve a interação eletrostática entre partículas eletricamente carregadas. Essa lei foi descoberta / publicada em 1785 pelo físico francês Charles Augustin de Coulomb. A lei de Coulomb diz o seguinte:
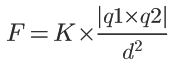
A magnitude da força eletrostática de interação entre duas cargas pontuais é diretamente proporcional ao produto das magnitudes das cargas e inversamente proporcional ao quadrado da distância entre elas.
Podemos expressar a lei de coulomb com a fórmula a seguir:
Onde:
- F é a força de interação entre as cargas, em Newtons
- K é a constante de coulomb, que vale 8,9875517873861764 x 109N.m2/c2
- q1 e q2 são as cargas, em módulo (sem sinal)
- d é a distância entre as cargas, em metros.
Podemos arredondar a constante k para o valor 9,0 x 109 N.m2/c2
Como o coulomb é uma unidade de valor bem específico, é comum utilizarmos múltiplos ou submúltiplos em cálculos que envolvam carga elétrica. A tabela a seguir mostra alguns múltiplos e submúltiplos do coulomb, com seus respectivos valores:
| Submúltiplos | ||
| Nome | Símbolo | Valor |
| femtocoulomb | fC | 10-15 C |
| picocoulomb | pC | 10-12 C |
| nanocoulomb | nC | 10-9 C |
| microcoulomb | μC | 10-6 C |
| milicoulomb | mC | 10-3 C |
| Múltiplos | ||
| Nome | Símbolo | Valor |
| kilocoulomb | KC | 103 C |
| megacoulomb | MC | 106 C |
| gigacoulomb | GC | 109 C |
| teracoulomb | TC | 1012 C |
| petacoulomb | PC | 1015 C |
Vejamos agora alguns exemplos de cálculos envolvendo cargas elétricas.
Exemplo 01: Um material possui uma carga em excesso de 12,48 x 1018 elétrons. Qual sua carga em coulombs?
Resolução:
Temos que a carga Q = Número total de elétrons / Carga de um coulomb. Então:
A carga elétrica do material é de 2 coulombs.
Exemplo 02: Uma carga de 3,5C atravessa a seção transversal de um condutor metálico. Calcule quantos elétrons passam por esse condutor por segundo.
Resolução:
Sabemos que 1C de carga equivale a 6,24 x 1018e (número de cargas elementares = número de elétrons). Então, se temos 3,5C de carga, basta multiplicarmos os valores para determinar o número total N de elétrons que atravessam esse condutor:
Portanto, pelo condutor passam 2,184 x 1019 elétrons por segundo.
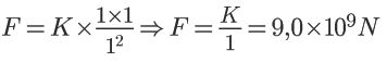
Exemplo 03: Duas cargas pontuais, cada uma com uma carga de +1,0 C, estão separadas por uma distância de 1,0 m. Determinar a magnitude da força de repulsão elétrica entre elas.
Resolução:
Sabemos que a força é de repulsão pois ambas as cargas possuem o mesmo sinal (+). Vamos extrair os dados do enunciado do problema:
- q1 = 1,0 C
- q2 = 1,0 C
- d = 1,0 m
- F = ?
Vamos usar a constante de coulomb arredondada para 9,0 x 109N.m2/c2. Aplicando a fórmula da Lei de Coulomb temos:
Portanto, a força de repulsão entre as duas cargas é de 9,0 x 109 Newtons.
Exemplo 04: Duas esferas estão carregadas com uma carga idêntica de -6,25 nC (nanocoulombs). A distância que as separa é de 61,7 cm. Determine a magnitude da força de repulsão elétrica entre elas.
Resolução:
Novamente, sabemos que a força é de repulsão porque ambas as esferas possuem carga de mesmo sinal, neste caso, negativa. Extraindo os dados do enunciado temos as seguintes informações:
- q1 = -6,25 nC = -6,25 x 10-9 C
- q2 = -6,25 nC = -6,25 x 10-9 C
- d = 61,7 cm = 0,617 m
- F = ?
Lembrando que 1 nC (nanocoulomb) equivale a 1 x 10-9 C. Os valores das cargas elétricas de cada esfera serão utilizados sem o sinal (em módulo). Vamos aplicar a fórmula da Lei de Coulomb para calcular a força de repulsão:
Portanto, a força de repulsão entre as esferas é de 9,23 x 10-7 Newtons.
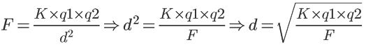
Exemplo 05: Duas esferas com cargas de +3,37 μC (microcoulombs) e -8,21 μC atraem-se com uma força de -0,0626 N. Determine a distância que separa essas duas esferas.
Resolução:
Desta vez a força de interação entre as esferas é de atração, pois seus sinais são opostos. Isso significa que uma das esferas possui excesso de elétrons enquanto a outra esfera possui falta de elétrons. Vamos aos dados que usaremos no cálculo:
- q1 = +3,37 μC = +3,37 x 10-6 C
- q2 = -8,21 μC = -8,21 x 10-6 C
- F = -0,0626 N (a força é negativa pois é de atração).
- d = ?
Vamos aplicar os valores obtidos do enunciado do exercício na fórmula da Lei de Coulomb. Mas antes, vamos transformar a fórmula para que possamos calcular a distância de acordo com os outros parâmetros da fórmula:
E então, calculando:
Portanto, a distância entre as esferas é de 1,99 m.
Quer aprender mais sobre Carga Elétrica? Assista a um vídeo do canal Bóson Ciências e Cultura sobre o assunto:
Eletricidade Estática
Quando um corpo possui cargas elétricas, ele se mantém carregado por um período de tempo variável, se essas cargas não forem descarregadas de alguma forma, sendo transferidas de ou para outro corpo. Quando isso ocorre, temos cargas em repouso no corpo em questão, às quais damos o nome de Eletricidade Estática. Vamos estudar a Eletricidade Estática em nosso próximo artigo, pois ela tem uma grande importância para nosso estudo de Eletricidade e Eletrônica.
